直線電機工作原理及選型深度分析
一、直線電機的基本結構與工作原理
直線電機是展平了的旋轉電機

1.1 直線電機的幾種常見機構
幾種常見的旋轉型電機
每一種旋轉電機,都有相應的直線電機與之對應

有鐵芯直線電機
優點: 推力大,低成本,散熱好
缺點: 有吸力,相當于推力的10倍齒槽、或挫頓力

無鐵芯直線電機
優點:無吸力,無齒槽, 動子質量輕
缺點: 散熱差,剛性差,推力較小

無槽直線電機
是有鐵芯和無鐵芯的結 合體

磁軸式直線電機
優點:無磁槽,磁力線全部利用,體積小,散熱 好,工藝簡單
缺點:推力小,剛性差,長度受限制

二、直線電機區別于傳統傳動方式
•高剛度,無傳動間隙和柔度
•寬調速范圍(1um/s—5m/s,絲杠<1m/s)
•高動態性能高加速度,可達10g
•極高的運動分辨率和定位精度
•無限行程
•無磨損免維護
•集成機械系統設計調整簡單

大行程高精度的終極解決方案
當一個平臺的精度要求很高時,比如微米級或者納米級的精度時,這時直線 電機是一個很好的選擇,比如當直線電機和氣浮導軌配合使用時,平臺的定 位精度可達幾十納米,這是其他形式的平臺所達不到的。

三、直線電機工作基本原理
直線電機不僅從結構上是從旋轉電機演變 而來的,其工作原理也與旋轉電機相似,遵 循電機學的一些基本電磁原理。這里直流永 磁直線電機為例子,說明一下直線電機的基 本工作原理。
VLP0020-0160是一款音圈電機,和直線 電機在某種程度上是一致的。區別在于,音 圈電機只有一個線圈,磁極一般不超過2對, 只被要求在一對磁極的范圍里運動,也就不 需要換相了。當需要突破這種行程限制,就 必需要有更多的磁極,和更多的線圈來接力, 這就是直線電機。所以音圈電機也叫做無換 向直線電機。
下圖表示的是典型的平板直線電機的結構。圖中的灰色的部分是底板, 黃色的方塊為一塊塊的永磁體,黃色和灰色部分組成了直線電機的定子。相 鄰兩個永磁體的極性是相反的,所以磁力線的分布如圖中所示。黃色的點表 示次級線圈中導線的橫截面。
可以看到導線的方向基本垂直于磁力線的方向,當導線中通過電流時, 會產生安培力。由左手定則可以得知,根據導線中電流方向的不同,可以使 線圈產生向左或者向右的力。這個力就是使直線電機直接做直線運動的推力。

直線電機絕大部分為直流永磁同步直線電機。其他種類 的直線電機,如交流永磁同步直線電機、交流感應直線電機、步進直線電機。 這些電機工作的基本原理都是類似的:
位于磁場中的載流導體,該導體受到力的作用,力的方向可按左手定則確 定。力的大小由下面公式確定:

繞組形式
交叉覆蓋方式,三個線圈組合占一個極 距,空間利用率高,動子較短。線圈無 效的兩邊可排列在磁場外,可以增加散 熱效果
非覆蓋平鋪方式,三個線圈占2個極距, 一般用于大推力電機,線圈的成型工藝 簡單,但線圈中央必須留空,磁場利用 率較低
對于帶鐵芯直線電機通常需要采用消齒槽的工藝,斜槽一個方法,還有就是采用分數 槽,錯開磁極和鐵芯的整倍數關系
四、直線電機
•小推力款型采用小極距設計(30mm),相同驅動下提高電流分辨率, 負面的影響是電機較寬
•線圈的有效長度比例增加,用于循環的無效長度比例減少,單位重量 的推力有所增大
•采用線圈定型工藝,最終線圈排布精確,控制精度高
•大推力款型X系列高于大部分競爭對手,如 kollmorgen 1600N,Hiwin1900N,Baldor 2300N,Accel 3000N
•Hall 傳感器采用分體可脫卸設計,增加可維護性
•高導熱樹脂
五、直線電機參數
•極距(Electrical Cycle Length)
——一對磁極所占的長度,通常是N-N的距離,一般地推力大的電機, 極距也大,這和一對磁極間所能容納的導線匝數和長度有關
•推力常數(Force Constant)
——每一安培電流所能產生的推力
•反電動勢常數(Back EMF Constant)
——每1米/秒速度產生的反電勢電壓
•電機常數(Motor Constant)
——線圈產生的推力與消耗功率的比值
•持續電流(Continuous Current)
——線圈可以承受的連續通過的電流,持續通過這個電流時,線圈不會因為超過一定的 溫度而有被損壞的危險
•持續推力(Continuous Force)
——當線圈通過100%負載率的持續電流時產生的推力
•峰值電流(Peak Current)
——線圈短時間內可以通過的最大電流,一般峰值電流通過的時間不超過1秒
•峰值推力(Peak Force)
——線圈的通過峰值電流時產生的推力
•線圈最高溫度(Maximum Winding Temperature)
——線圈可以承受的最高溫度
•電機電阻(Resistance 25°C, phase to phase)
——線圈在25°C時的相間電阻
•電機電感(Inductance, phase to phase)
——線圈的相間電感
Hall位置反饋
光柵位置反饋
霍爾效應傳感器設在馬達里被激活 的磁體的面上。在這些信號放大器 轉換成適當的相電流。正弦換相是 使用線性編碼器信號回到控制器。 一個共同的技術是利用霍爾效應同 步磁場位置,然后切換到正弦換相。 在任何情況下,換相的速度并非是 限制因素。

六、直線電機的選型
6.1 直線電機選型的重要性
直線電機系統的結構與旋轉電機系統的結構有所不同。旋轉電機往往通過絲杠、皮帶輪等轉 動部件轉化為直線運動。而直線電機采用直接驅動技術,直線電機的性能起到了決定性的作用。 直線電機用戶往往對負載的運動有一系列的要求。這樣就需要我們為客戶選擇一款合適的電機。 如果選擇不當,則可能達不到客戶的要求,或者給客戶造成成本不必要的上漲。并不是所有的傳 統傳動機構都能被直線電機替代,如果工作狀態不能發揮直線電機的高速性能,這種替代可能是 不合理的。
傳統的旋轉電機可以通過減速機構保證功率的正常發揮,而直線電機系統的持續推力和最大推 力是有限制的,且卻不能通過減速等方式產生更大的力。所以當速度很低時,力也不能變大,所 以正常的功率不能被發揮出來。
另外對于成本問題,直線電機的前期成本雖然高于絲桿,但對于高精度的應用時,高等級的絲 桿的采購成本也會比較高,并且此時絲桿系統也需要考慮安裝線性編碼器,這樣直線電機和絲桿 之間的成本差距就會變得很小;并且絲桿傳動的平臺還存在著使用中的維護和磨損問題,由此帶 來的人工成本和維護成本也不容小視,最后,隨著直線電機的生產技術的提高以及量產化的不斷 擴大,其采購成本也在不斷降低。
6.2 根據客戶的要求選擇電機
直線電機的使用目前還沒有旋轉電機廣泛,了解直線電機的用戶還不是很多。用 戶在想使用直線電機時,沒有自行選擇直線電機的能力。這樣就需要我們根據用戶的 要求來幫用戶選擇。
由于用戶沒有選擇的能力,所以用戶只會提供他們的要求。根據直線電機應用場 合,這些要求往往是:行程、加速度、最高速度等。實際上,我們的客戶都不會給我 們這些數據。因為這些數據時需要計算出來的,用戶往往不會去計算,或者計算出來 的數據并不準確。這時候就需要我們想客戶了解,直線電機需要帶動什么樣的負載, 這個負載要做什么樣的運動。
6.2.1 確定運動曲線
在確定負載的運動曲線之前,我們先要了解客戶的負載是什么樣的。很多客戶的 負載都是加工件或者其他物料,直線電機除了驅動物料以外,還需要驅動放置或者固 定這些物料的置具或抓具。這些置具或抓具往往比物料更大、更重。我們需要了解的 是直線電機驅動的整個運動部分的質量。
這是我們選型時用到的真正負載:M1
直線電機選型的基本原則是根據馬達的自身參數,利用數學關系計算出運動曲線 中所需要的最大推力和RMS力。當直線電機的最大推力和持續推力滿足這些要求時才可 以選擇。
我們以最常見的運動曲線為例,要求從負載在 t 時間內從該軸的A點運動到B點, 距離為 s 。當負載加速到某一速度 v 以后做勻速運動,到達B點時速度為0,停頓一段 時間后,再從B點返回A點,返回時的要求與之前一樣,就這樣做來回往復運動,直到 加工完成。
這樣,我們可以根據客戶的要求把t分為三部分: 加速時間:t1
勻速時間:t2 減速時間:t3
我們把停頓時間命名為t4。根據行程s,我們可以計算出t1、t2、t3,以及加速度a、減 速度‐a。這樣我們就可以繪出運動曲線(v‐t),如下圖

6.2.2 計算和選擇
運動曲線圖上每個部分的力都可以計算出來,具體的計算方法如下: 加速階段的力:
F1=(M1+M2)*a+Fc
勻速階段的力:
F2=Fc
減速階段的力: F3=(M1+M2)*(‐a)+Fc 停頓時電機不出力:
F4=0
其中:
a是加速階段和減速階段的加、減速度
M1是總的運動負載的質量 M2是電機線圈的質量
Fc是克服摩擦力的需求力,精密直線導軌的摩擦系數一般為0.01,所以一般設 Fc=0.01(M1+M2)
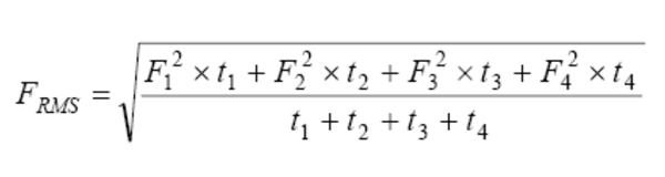
這樣,我們就可以算出整個過程中的RMS力和最大力
RMS力可由以下公式算出

而最大推力Fmax=Max(F1,F2,F3,F4) 算出RMS力和最大推力以后,可以按照一定的流程來選擇一款合適的直線電機
以上的計算只是在相對理想的條件下,實際應用時,系統往往對力有更高的需求,所 以我們在實際選型時,需要在計算中加入適當的余量。